Rabi振荡是强激光场与物质相互作用时所引发的一种重要非线性物理现象,其通常表现为布居在二能级系统中的转移呈现周期性变化状态。微波和可见光驱动的Rabi振荡,在原子钟、微波磁场成像、光学相干操控、量子计算和量子信息等多个学科和领域得到广泛研究和应用。然而,极紫外(XUV)和X射线与物质的相互作用非线性较弱,在高频波段直接探测Rabi振荡是一项极具挑战性的工作。尽管超强超短XUV自由电子激光已存在数十年,并且已有不少理论预测用光电子谱来探测Rabi振荡的方法,但实验上直到2022年才首次在He原子的光电子谱上直接观测到XUV诱导的Rabi振荡现象。
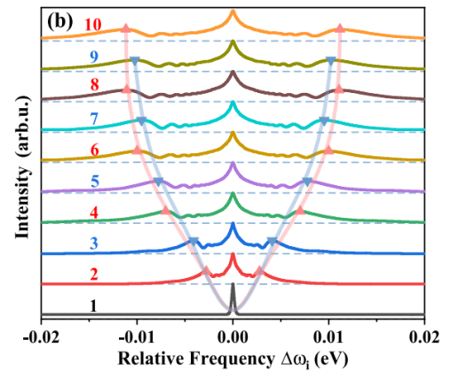
近期,365英国上市公司张松斌教授团队,对强XUV激光与He气体介质的相互作用过程进行全面动力学模拟(图1),发现次级的超荧光辐射谱,能有效映射XUV诱导的Rabi振荡现象。研究表明,Rabi振荡直接调制激发态的布居,影响介质中受激原子的数密度,进而改变超荧光的辐射谱结构特性(图2)。2023年07月25日,相关研究成果以“超荧光辐射谱探测XUV诱导的Rabi振荡新方案”(Proposal for Observing XUV-Induced Rabi Oscillation Using Superfluorescent Emission)为题,在线发表于《物理评论快报》(Physical Review Letters 131, 043201 (2023))。该方案不仅为探测短波诱导的Rabi振荡提供了新方法,也为灵敏探测XUV或X射线系统中的弱非线性光学效应开辟了新途径。
365英国上市公司2020级硕士生崔俊杰为第一作者,张松斌教授和瑞典皇家理工公司Victor Kimberg教授为通讯作者。该研究工作得到国家自然科学基金和瑞典研究理事会基金的大力支持。
论文链接:https://link.aps.org/doi/10.1103/PhysRevLett.131.043201


图1. (a)He能级图与传播示意图;(b)介质末端各能级布居与入射光强关系图。

图2. (a)不同光强下超荧光时间剖面图;(b)不同光强下超荧光光谱图