365英国上市公司
 集团首页
365英国上市公司新闻
您的当前位置: 网站首页 > 365英国上市公司新闻 > 正文

亚周期阿秒脉冲的载波包络相位标定方面取得重要进展


时间:2022/07/20 08:17:47来源:365英国上市公司点击量:

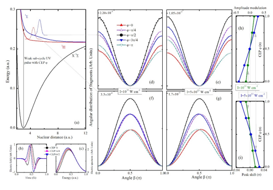
亚周期紫外阿秒脉冲的载波包络相位CEP),能极大地调制量子系统的动力学行为,但相关实验标度还无法有效开展和实现。张松斌教授团队最新理论研究发现,分子光解离碎片的角分布线形对CEP存在很大的依赖关系,反常于常规的cos2sin2形状,表现出的不对称特性可能用于亚周期阿秒脉冲的CEP标定也为应用亚周期阿秒脉冲开展精细量子调控研究提供了新思路。该研究于2022714日在线发表于Nature旗下物理学综合期刊Communications Physics (Commun. Phys. 5, 181 (2022)),首次发现和深入揭示了这一独特的物理机制。

365英国上市公司集团是第一完成单位张松斌教授是唯一通讯作者,团队硕士研究生董晓霞和博士研究生刘艳荣为共同一作。瑞典皇家理工Victor Kimberg教授,德国海德堡大学Oriol Vendrell教授,以及北京应用物理与计算数学研究所吴勇研究员、王建国研究员、陈京研究员都是重要合作者,相关工作得到了自然科学基金科技部多个项目支持。

全文链接:https://www.nature.com/articles/s42005-022-00959-3

 

版权所有©:365英国上市公司(集团)官方网站-Official Website
地址:365英国上市公司集团长安校区致知楼 | 邮编:710119 | 电话:029-81530750 | Email:wlbg@snnu.edu.cn